
제목은 <에이즈(HIV/AIDS)에 걸릴 수 있는 위험한 행동들>이라고 하였으나
정확하게 말하면 <HIV에 감염될 수 있는 위험한 행동들>에 대해서 이야기하고자 한다.
좀 다르게 말하면 <해당 행위를 했을 때 HIV에 감염될 확률은 얼마나 되나?> 이다.
이전 포스팅에서도 이야기하였지만 인체면역결핍바이러스 (HIV, Human Immunodeficiency Virus)에 감염된 이후 해당 바이러스로 인해 면연체계가 파괴된 것이 에이즈(AIDS)이다.

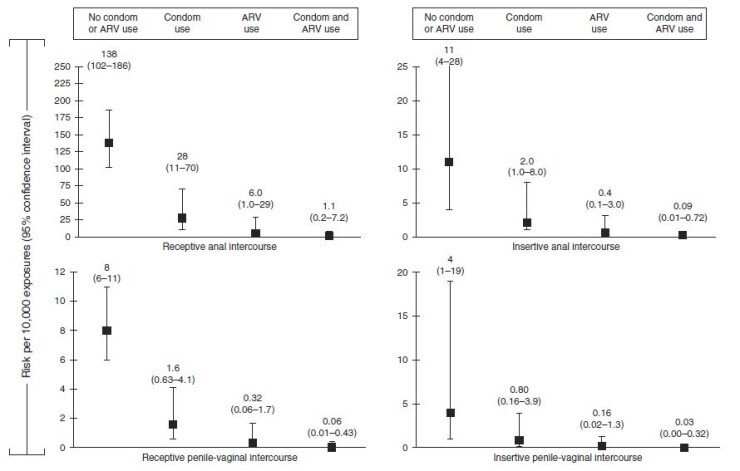
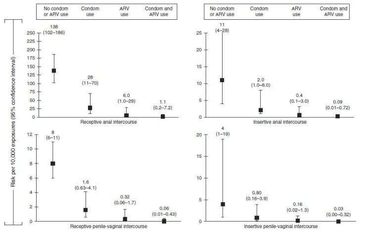
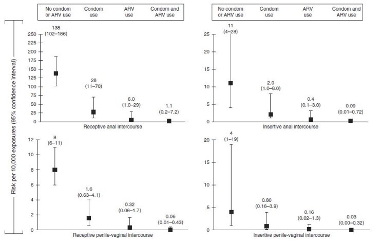
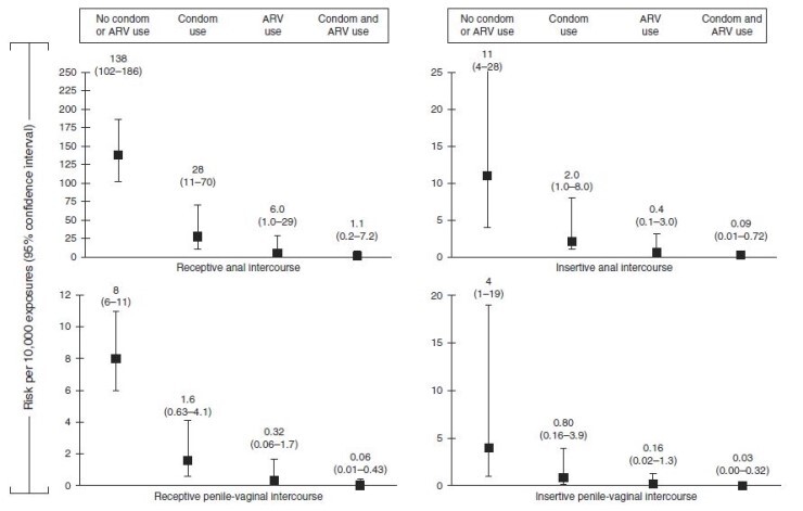
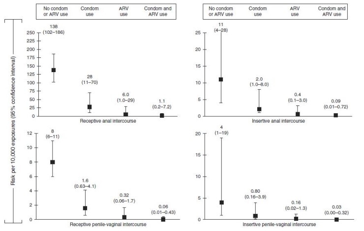
2014년 미국질병예방통제센터(CDC, Centers for Diseas Control and Prevention)는 HIV에 감염될 수 있는 위험행위에 대해 연구하고 논문으로 발표하였다. 위 표는 해당 논문에 실린 표이고, 미국질병예방통제센터에서 사용중에 있다. 상기 표에서 위험도란 해당 행동을 했을시 인구 10,000명당 HIV에 감염될 수 있는 사람의 수 이다.
[ 비경구 감염 ]
| 감염자 수 | 감염확률 | |
| 1. 수혈 | 9250 | 92.5% |
| 2. 주사기 공유 | 63 | 0.63% |
| 3. 주사기에 찔림 | 23 | 0.23% |
(인구 10,000명을 기준으로 했을 시)
위 사항과 관련해 조금 설명해보자면
1. HIV에 감염되어 있는 피를 수혈받을 경우 HIV에 감염될 확률이다. 가장 크다.
2. 마약등 약물을 주사로 사용하는 경우 주사기를 공유하여 쓸 경우가 많다. 이럴때 HIV에 감염될 확률이다.
3. 의료행위도중 HIV 감염자를 찌른 주사바늘에 의료인들이 찔렸을 경우이다.
[ 성행위에 의한 노출 ]
| 감염자 수 | 감염확률 | |
| 1. 항문성교 (여성, 바텀) | 138 | 1.38% |
| 2. 항문성교 (남성, 탑) | 11 | 0.11% |
| 3. 질성교 (여성) | 8 | 0.08% |
| 4. 질성교 (남성) | 4 | 0.04% |
| 5. 구강성교 | 적음 | 적음 |
(인구 10,000명을 기준으로 했을 시)
참조)
ㄱ. 게이일 경우 받는 자를 바텀, 넣는 자를 탑이라고 한다.
ㄴ. 위의 상황은 사정까지 한 경우이다.
ㄷ. 성행위를 1회 했을 시 발생할 수 있는 감염자의 수와 감염확률이다.
위 사항을 정리하자면 다음과 같다.
1. 항문성교가 > 질성교보다 위험하다.
2. 여성,바텀이 > 남성,탑보다 위험하다
3. 구강성교는 위험도가 매우 낮으나 없는 건 아니다.
[ 감염 위험도가 증가하는 경우 ]
1. 둘중 감염자의 viral load가 높은 경우 (혈액에 virus가 많을 경우)
2. 둘중 감염자가 급성기나 만성기일 경우 (HIV감염은 급성기→무증상기→만성기(AIDS)로 진행됨.)
3. 감염자의 감염원(정액,피등)이 비감염자의 상처(궤양, 열상등)에 닿는 경우.
4. 성행위의 횟수가 많아지는 경우
[ 감염 위험도가 감소하는 경우 ]
1. 콘돔사용 : 가장 중요하다!!!
2. 항레트로바이러스제 (ARV) 사용
3. 사정을 하지 않은 경우 : 사정을 하지 않을시 절반정도로 위험도가 떨어진다. 하지만 질액,쿠퍼액등으로도 감염이 가능하다.
4. 남성의 포경수술 (circumcision)

< 콘돔을 사용할 시 감염위험도가 1/5로 떨어진다. 항바이러스제를 사용할시에는 더욱 감소한다. >
[ 주의! ]
1. 이성과 동성사이에서 성행위로 인한 감염위험도를 비교 해봤을 시 위험도 차이는 없다.
2. 문제는 항문성교 자체이다.
3. 그리고 둘다 HIV에 감염되어 있지 않았다면 당연히 HIV에 감염될 위험은 없다.
게이이기 때문에 없던 HIV가 생기는게 아니라는 말.
[ 결론 ]
1. 콘돔을 사용하자.
2. 감염이 의심되는 경우 빨리 진단을 받고 관리하자.
그게 자신과 사랑하는 사람을 지키는 방법이다.
3. 대신 선별검사에서 양성반응이 나온다고 성급한 행동을 하지말자. 위양성이 있다. (이전 포스팅)
( 에이즈검사(HIV/AIDS)에서 양성결과가 나왔을 때 그 의미는 무엇일까? : http://blog.naver.com/ikjun83/220610951776 )

Reference)
1. Estimating per-act HIV transmission risk: a systematic review / AIDS. 2014
: http://www.ncbi.nlm.nih.gov/pubmed/24809629
3. HIV Risk and Prevention Estimates : http://www.cdc.gov/hiv/risk/estimates/index.html
'정보' 카테고리의 다른 글
| 다이어트에 좋은 저칼로리 음식.jpg (0) | 2023.01.16 |
|---|---|
| 디지털 치매의 문제점 및 해결방안 제안 (0) | 2023.01.16 |
| 유통기한 지나도 섭취 가능한 음식 (0) | 2023.01.16 |
| 암기천재가 알려주는 암기꿀팁_공부 잘하는 방법/잘 외우는 법 (0) | 2023.01.16 |
| 저가 spa별 사기 좋은 옷 (0) | 2022.10.17 |
| 우울증 걸렸을떄의 증상과 항우울제를 복용한 뒤의 상황 (0) | 2022.08.17 |
| GTA 6 대규모 유출 루머 (0) | 2022.07.03 |
| 소식은 노화방지에 가장 탁월한 방법.jpg (0) | 2022.06.27 |
댓글